마스크 쓴 채 이비인후과 '목소리 검사'…정확도 문제 없었다

팬데믹 전후 코호트 간 비교 연구로 '신뢰도 훼손 없음' 밝혀
임재열 강남세브란스 교수 "감염관리·정확도 높은 검사 기대"

본문 이미지 - 강남세브란스병원 이비인후과의 임재열 교수(왼쪽), 이승진 한림대학교 언어청각학부 교수/강남세브란스병원 제공
강남세브란스병원 이비인후과의 임재열 교수(왼쪽), 이승진 한림대학교 언어청각학부 교수/강남세브란스병원 제공

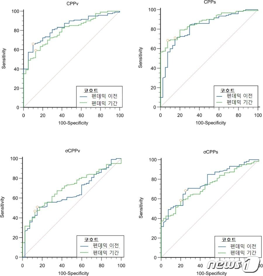
본문 이미지 - 음성의 질(voice quality)과 가장 관련이 깊은 것으로 알려진 음향학적 변수인 CPP의 곡선 아래 면적(AUC)의 코호트 간 차이가 없는 것으로 나타났다/강남세브란스병원 제공
음성의 질(voice quality)과 가장 관련이 깊은 것으로 알려진 음향학적 변수인 CPP의 곡선 아래 면적(AUC)의 코호트 간 차이가 없는 것으로 나타났다/강남세브란스병원 제공

대표이사/발행인 : 이영섭

|

편집인 : 채원배

|

편집국장 : 김기성

|

주소 : 서울시 종로구 종로 47 (공평동,SC빌딩17층)

|

사업자등록번호 : 101-86-62870

|

고충처리인 : 김성환

|

청소년보호책임자 : 안병길

|

통신판매업신고 : 서울종로 0676호

|

등록일 : 2011. 05. 26

|

제호 : 뉴스1코리아(읽기: 뉴스원코리아)

|

대표 전화 : 02-397-7000

|

대표 이메일 : webmaster@news1.kr

Copyright ⓒ 뉴스1. All rights reserved. 무단 사용 및 재배포, AI학습 활용 금지.